Ответы
Ответ дал:
0
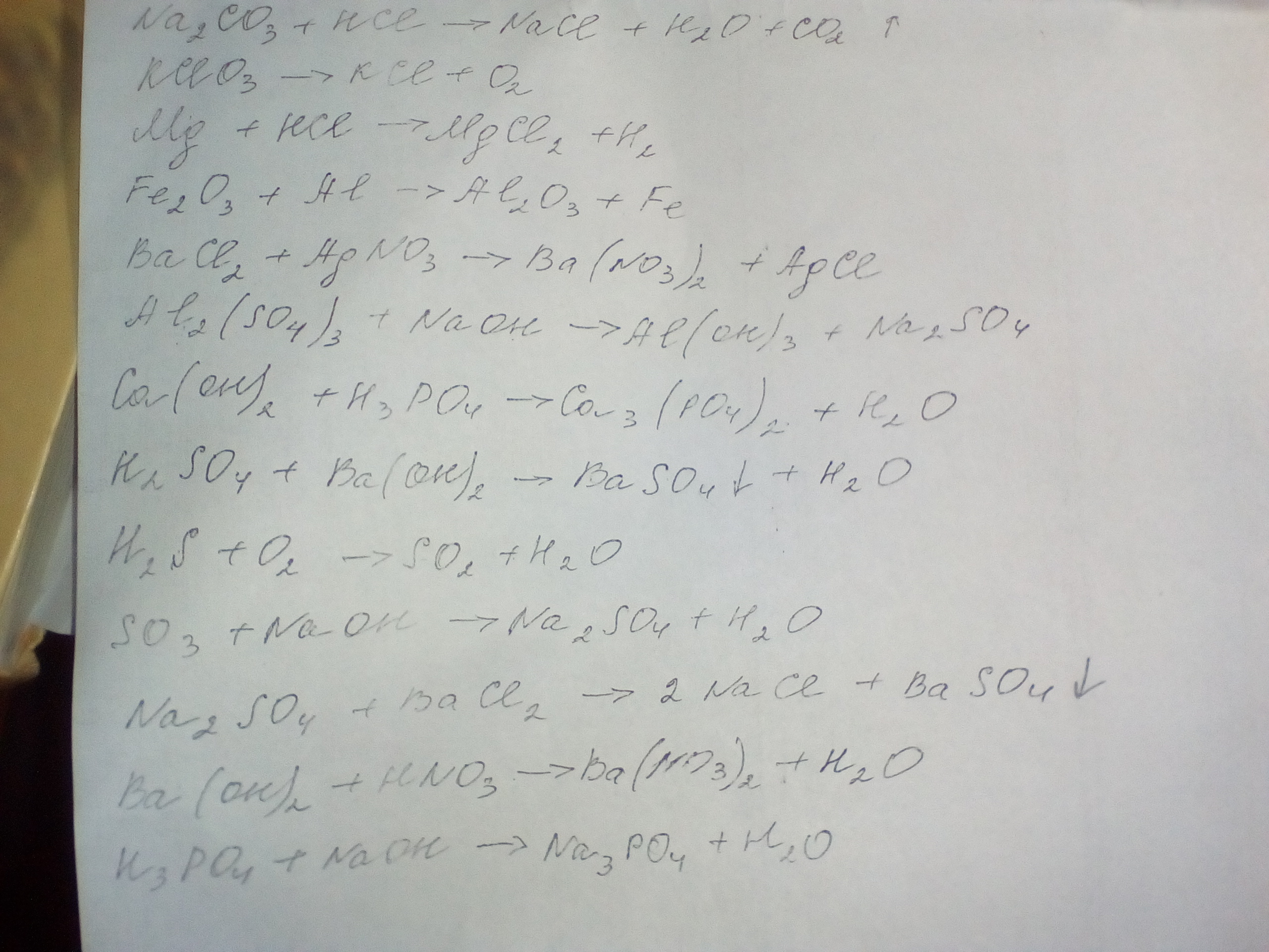
Na2CO3 + 2HCl -> 2NaCl + CO2 + H2O обмен
2KClO3 -> 2KCl + 3O2 разложение
Mg + 2HCl -> MgCl2 + H2 замещение
Fe2O3 + 2Al -> Al2O3 + 2Fe замещение
BaCl2 + 2AgNO3 -> Ba(NO3)2 + 2AgCl обмен
Al2(SO4)3 + 6NaOH -> 2Al(OH)3 + 3Na2SO4 обмен
3Ca(OH)2 + 2H3PO4 -> Ca3(PO4)2 + 6H2O обмен
H2SO4 + Ba(OH)2 -> BaSO4 + 2H2O обмен
2H2S + 3O2 -> 2SO2 +2 H2O
SO3 + 2NaOH -> Na2SO4 + H2O обмен
Na2SO4 + BaCl2 -> BaSO4 + 2NaCl обмен
Ba(OH)2 + 2HNO3 -> Ba(NO3)2 + 2H2O обмен
H3PO4 + 3NaOH -> Na3PO4 +3 H2O обмен
2KClO3 -> 2KCl + 3O2 разложение
Mg + 2HCl -> MgCl2 + H2 замещение
Fe2O3 + 2Al -> Al2O3 + 2Fe замещение
BaCl2 + 2AgNO3 -> Ba(NO3)2 + 2AgCl обмен
Al2(SO4)3 + 6NaOH -> 2Al(OH)3 + 3Na2SO4 обмен
3Ca(OH)2 + 2H3PO4 -> Ca3(PO4)2 + 6H2O обмен
H2SO4 + Ba(OH)2 -> BaSO4 + 2H2O обмен
2H2S + 3O2 -> 2SO2 +2 H2O
SO3 + 2NaOH -> Na2SO4 + H2O обмен
Na2SO4 + BaCl2 -> BaSO4 + 2NaCl обмен
Ba(OH)2 + 2HNO3 -> Ba(NO3)2 + 2H2O обмен
H3PO4 + 3NaOH -> Na3PO4 +3 H2O обмен
Вас заинтересует
2 года назад
7 лет назад
7 лет назад
10 лет назад
10 лет назад