Ответы
Ответ дал:
0
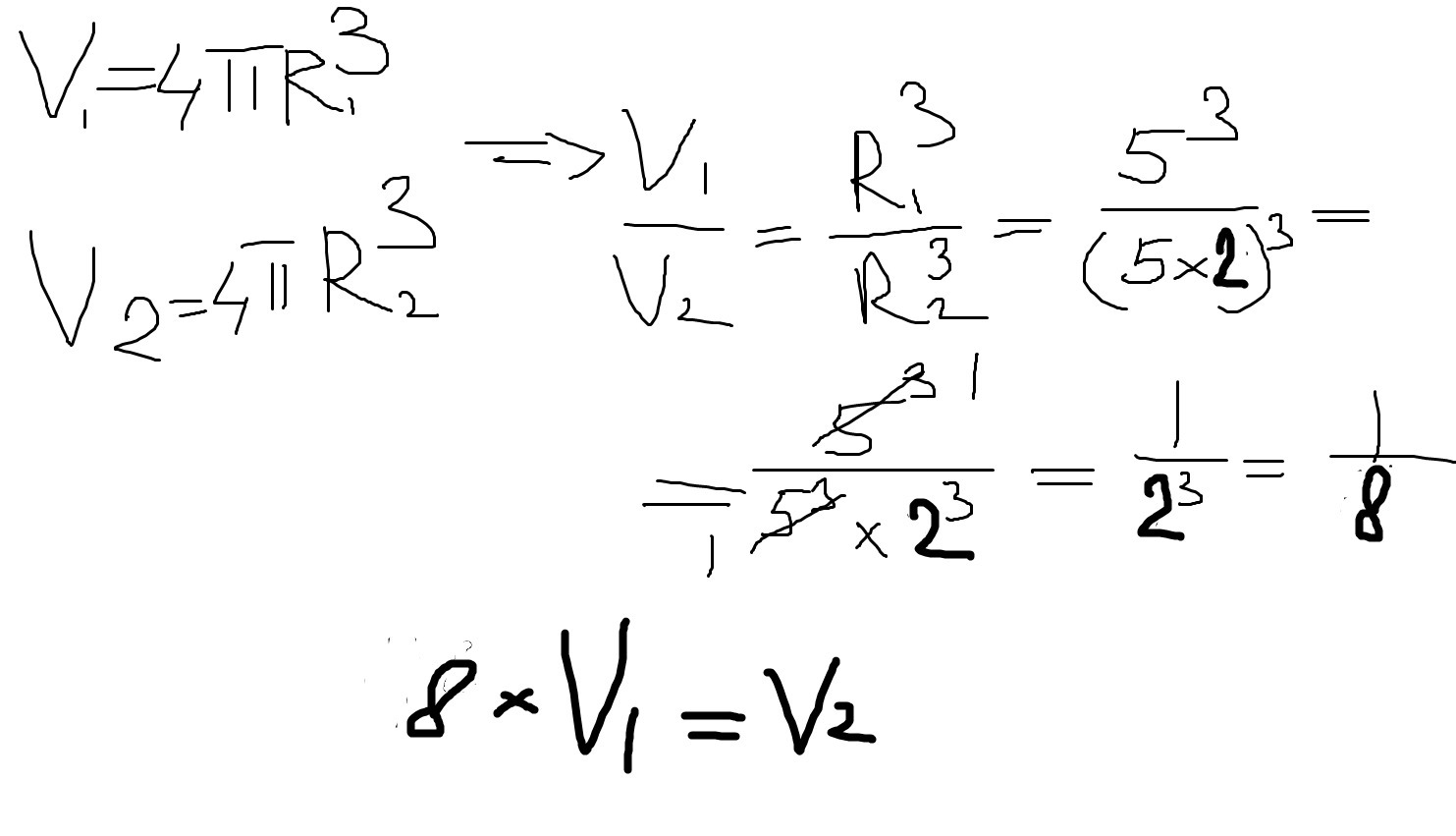
значит объем увеличится в 8 раз
если надо на сколько, то
5*8-5=40-5=35 дм
обрати внимание что тут в дм
Приложения:

Вас заинтересует
1 год назад
1 год назад
2 года назад
3 года назад
3 года назад
8 лет назад