• Предмет: Алгебра
  • Автор: dasha1320661
  • Вопрос задан 9 лет назад

Помогите пожалуста
очень срочно
пожалуйста

прошу
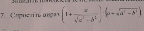
буду очень благодарна

Приложения:

Ответа на этот вопрос пока нет. Попробуйте найти его через форму поиска.

Вас заинтересует