Решите пожалуйста по действия!!Ответ должен получится ,,9,,
Приложения:

Аноним:
Ну так есть решение, и я раннее тебе написала. Действия видны.
Ответы
Ответ дал:
0
!!!!!!!!!!!!!!!!!!!!!!!!!!!
Приложения:

Ответ дал:
0
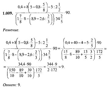
1)0,8*5/8=0,5
2)5-0,5=4,5
3)8*4,5=36
4)5:2 1/2=5:2,5=2
5)0,4+36=36,4
6)36,4-2=34,4
-------------------
7)2,6:2/3=26/10*3/2=39/10=3,9
8)8,9-3,9=5
9)1 7/8*8=15/8*8/1=15
10)15-5=10
11)10*34 2/5=10*34,4=344
--------------------------
12)34,4:344=0,1
13)0,1*90=9
2)5-0,5=4,5
3)8*4,5=36
4)5:2 1/2=5:2,5=2
5)0,4+36=36,4
6)36,4-2=34,4
-------------------
7)2,6:2/3=26/10*3/2=39/10=3,9
8)8,9-3,9=5
9)1 7/8*8=15/8*8/1=15
10)15-5=10
11)10*34 2/5=10*34,4=344
--------------------------
12)34,4:344=0,1
13)0,1*90=9
Вас заинтересует
1 год назад
1 год назад
2 года назад
2 года назад
3 года назад
8 лет назад