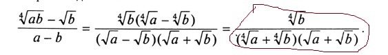
ребят, помогите разобраться, ниче не пойму, как получился такой ответ, как в знаменателе появилось выражение под корнем в 4ой степени, там типо сократили?
Приложения:

Ответы
Ответ дал:
0
kmike21:
Теперь понятнее?
Вас заинтересует
1 год назад
1 год назад
2 года назад
2 года назад
3 года назад
8 лет назад