Ответы
Ответ дал:
0
вот.
________________
________________
Приложения:

Ответ дал:
0
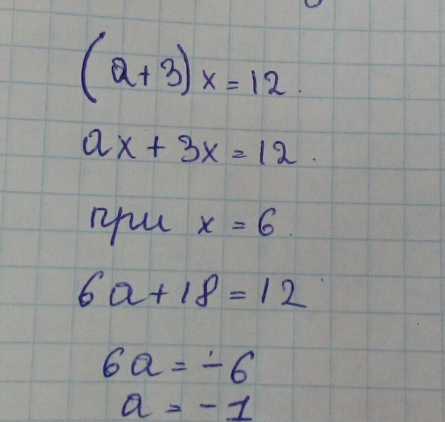
(A + 3 ) * x =12 = (A +3)*6=12.
12:6=2
3-2=1
Ответ: 1.
12:6=2
3-2=1
Ответ: 1.
Приложения:

Вас заинтересует
2 года назад
3 года назад
9 лет назад
9 лет назад
10 лет назад