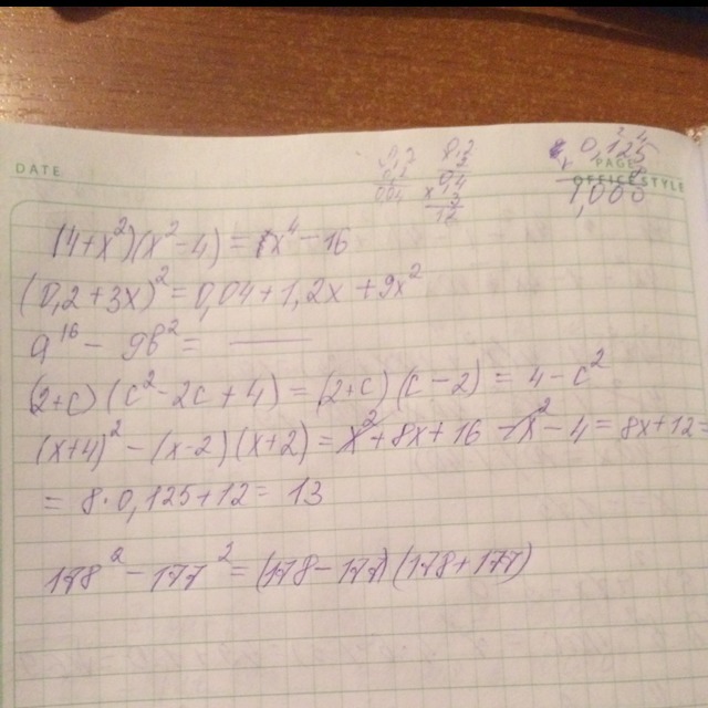
(4+x^2)(x^2-4)=
(0,2+3x)^2=
a^16-9b^2=
(2+c)(c^2-2c+4)=
(x+4)^2-(x-2)(x+2)=
Если x=0,125
178^2-177^=
Сделайте разность как можно удобней
25y^2-9=0
Решите уравнение
125-8b^3=
Решите
Пожалуйста помогите!!!
Ответы
Ответ дал:
0
.................................
Приложения:

Ответ дал:
0
спасибо хоть что-то
Ответ дал:
0
1)(4+x²)(x²-4)=(4+x²)(x-2)(x+2)
2)(0,2+3x)²=(0,04+1,2x+9x²)
3)a^16-9b²=(a^8-3b)(a^8+3b)
4)(2+c)(c²-2c+4)=(2+c)³
5)(x+4)^2-(x-2)(x+2)=(0,125+4)²-(0,125-2)(0,125+2)=_( *_*)_/
7)25y²-9=0
(5y-3)(5y+3)=0
(5y-3)=0 или (5y+3)=0
2)(0,2+3x)²=(0,04+1,2x+9x²)
3)a^16-9b²=(a^8-3b)(a^8+3b)
4)(2+c)(c²-2c+4)=(2+c)³
5)(x+4)^2-(x-2)(x+2)=(0,125+4)²-(0,125-2)(0,125+2)=_( *_*)_/
7)25y²-9=0
(5y-3)(5y+3)=0
(5y-3)=0 или (5y+3)=0
Приложения:

Ответ дал:
0
от души!
Ответ дал:
0
^_^
Вас заинтересует
2 года назад
2 года назад
3 года назад
3 года назад
9 лет назад
9 лет назад