• Предмет: Математика
  • Автор: Viktor05251
  • Вопрос задан 8 лет назад

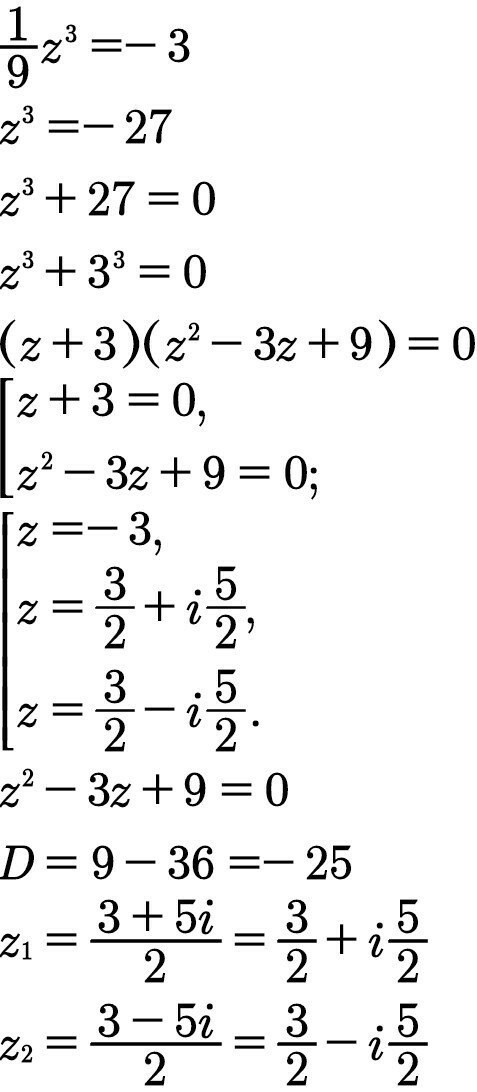
Решить уравнение комплексные числа
 frac{1}{9}  times z {}^{3}  =  - 3

Ответы

Ответ дал: Tanda80
0
Решение на фотографии.
Приложения:
Вас заинтересует