• Предмет: Математика
  • Автор: ann2262
  • Вопрос задан 8 лет назад

нужно решение всех трех

Приложения:

Ответы

Ответ дал: Аноним
0

3) 9,3*10000=93000 см = 930 м =0,93 км


4) 7/3=2 1/3 м - на одну рубашку

18:2 1/3= 6 шт - рубашек можно сшить из 18 метров ткани


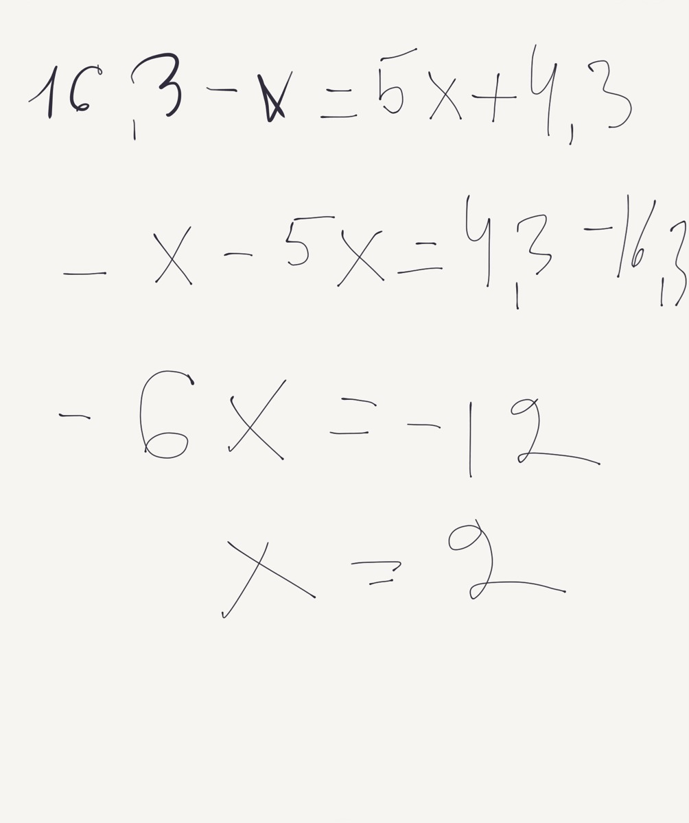
5) 16,3-х=5х+4,3

-6х=-12

х=2

Ответ дал: finekisa
0
Решение пятого задания на фото
Приложения:
Вас заинтересует