• Предмет: Алгебра
  • Автор: Аноним
  • Вопрос задан 8 лет назад

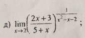
Решите пожалуйста лимит, даю максимум баллов.

Приложения:

Ответы

Ответ дал: wturm
0

 {e}^{lim(x - > a)((u(x) - 1) times v(x))}  \ u(x) =  frac{2x + 3}{5 + x}  \ v(x) =  frac{1}{ {x}^{2}  - x - 2}  \ lim(x - > 2) ((frac{2x + 3}{5 + x} - 1) times  frac{1}{ {x}^{2}  - x - 2}) =  lim(x - > 2)( frac{2x + 3 - 5 - x}{5 + x} ) times  frac{1}{{x}^{2}  - x - 2}  = lim(x - > 2)(frac{x - 2}{5 + x} times frac{1}{(x - 2)(x + 1}) = lim(x - > 2)( frac{1}{(5 + x)(x + 1)}  =  frac{1}{21}  = >  {e}^{ frac{1}{21} }
Ответ дал: Segrif
0

( frac{2x + 3}{5 + x} )^{frac{1}{x^2 - x - 2} } = ( frac{x + 5 + x - 2}{x + 5} )^{frac{1}{(x-2)(x+1)} } = (1 + frac{x - 2}{x + 5} )^{frac{x+5}{x-2} * frac{1}{(x+1)(x+5)} } -> { frac{x-2}{x+5} -> 0 } -> e^{ frac{1}{(x+1)(x+5)} } -> e^{1/21}

Вас заинтересует