• Предмет: Математика
  • Автор: Ufa1574
  • Вопрос задан 8 лет назад

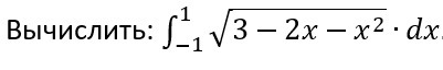
Вычислить этот пример

Приложения:

Ответы

Ответ дал: hELFire
0

int_{-1}^1sqrt{3-2x-x^2}dx=int_{-1}^1sqrt{4-(x+1)^2}dx=arcsinfrac{x+1}{2}|_{-1}^1=\\=arcsin 1-arcsin 0=frac{pi}{2}

Вас заинтересует