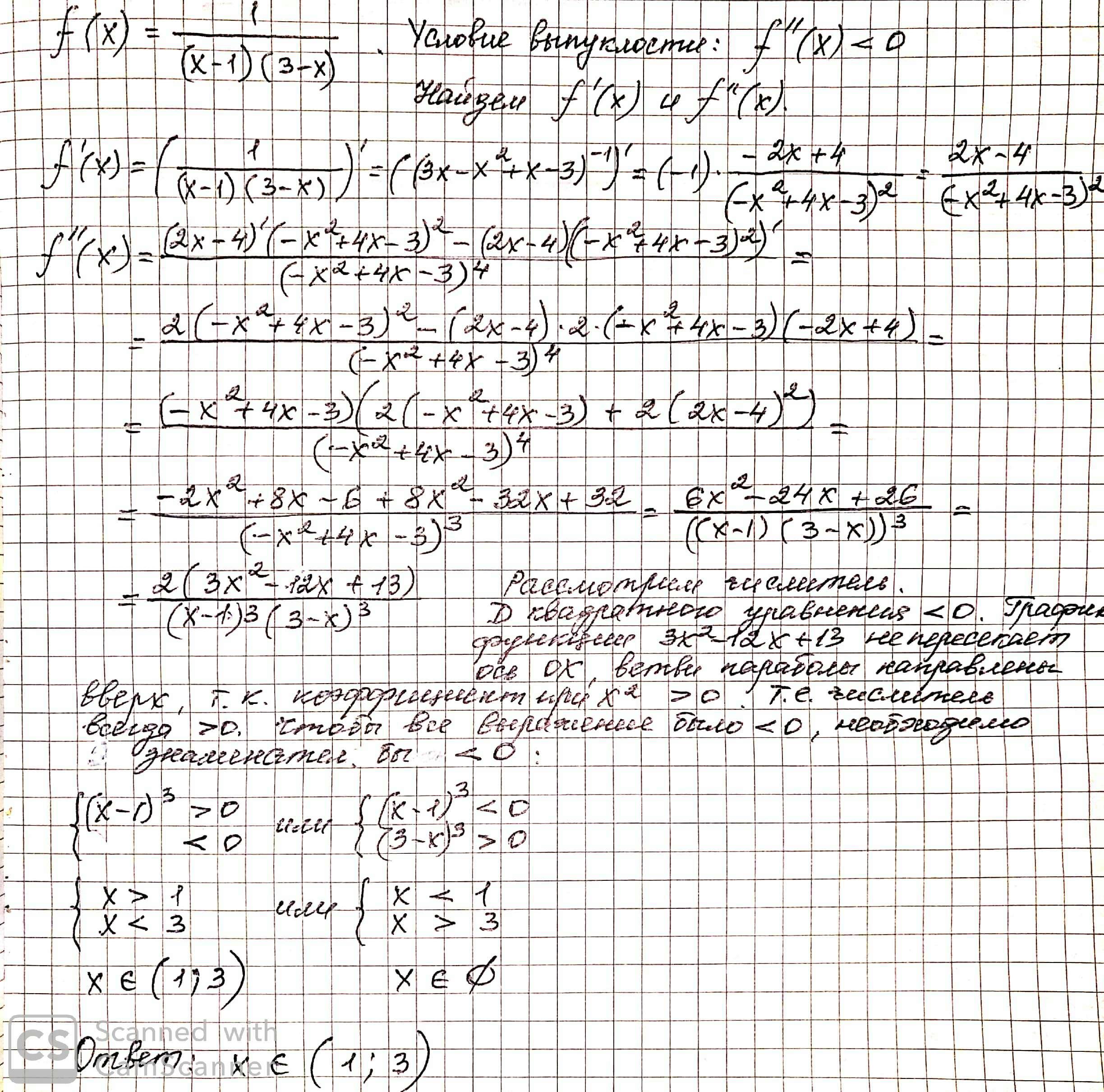
Найдите промежуток (a, b), на котором график функции имеет выпуклость вниз.
f(x)=(1)/((x-1)(3-x))
Ответы
Ответ дал:
0
Ответ:
Пошаговое объяснение: решение в файле
Приложения:

Вас заинтересует
2 года назад
2 года назад
3 года назад
3 года назад
8 лет назад
8 лет назад
9 лет назад
9 лет назад