• Предмет: Физика
  • Автор: razdorovdanil
  • Вопрос задан 8 лет назад

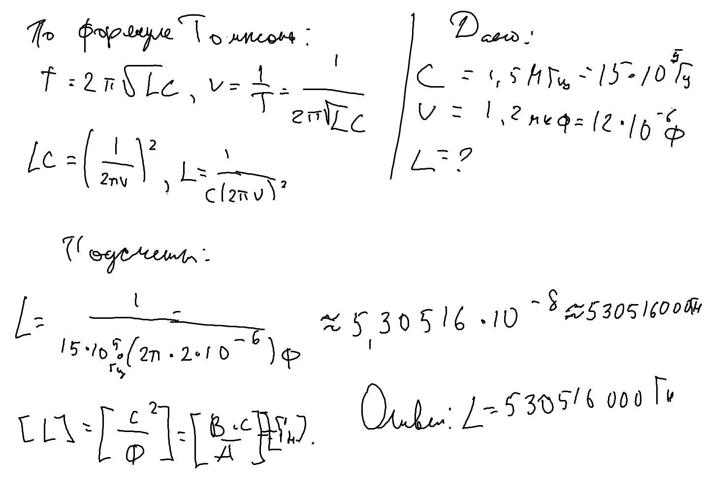
Помогите решить формулу Томпсона
Задача на фотографии:
Неделю уже сижу:(

Приложения:

Ответы

Ответ дал: esdesucu
0

Ответ:

Привет, друг. Мы не изучали эту тему, но я попытался помочь тебе в решении, если верно - отпишись.

Объяснение:

Приложения:
Ответ дал: razdorovdanil
0
Конечно, отпишу, спасибо;)
Вас заинтересует