• Предмет: Алгебра
  • Автор: inkamove
  • Вопрос задан 2 года назад

Побудуйте графік функції:

Приложения:

Ответы

Ответ дал: MrHaL1NoN
0

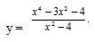
y =  \frac{x^{4}  +  3x - 4 }{x^{2} }

Представим, у = 0;

 \frac{x^{4} + 3x^{2} - 4  }{x^{2} - 4 }  = 0

x^{4}  + 3x^{2}  - 4 = 0

t = x^{2}

Решим уравнение:

t^{2}  + 3t - 4 = 0

Корни из уравнения:

t(1) = 1 \\ t(2) =  - 4

Выполним обратную замену, подставив значения:

x^{2}  = 1  \\ x^{2}  =  - 4

x =  - 1 \\ x = 1

Ответ:

x(1) =  - 1 \\ x(2) = 1

Приложения:
Вас заинтересует