• Предмет: Физика
  • Автор: nazarrr63
  • Вопрос задан 2 года назад

Распределение Ферми-Дирика?

Ответы

Ответ дал: DedStar
1

Ответ:

Объяснение:

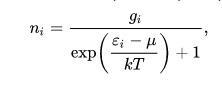
Запишем формулу  (см. прикрепленный файл)

В статистике Ферми-ДирАка ( в состоянии i):

ni - среднее число частиц;

εi - энергия;

gi - кратность вырождения системы;

μ - химический потенциал;

k - постоянная Больцмана;

Т - абсолютная температура.

Приложения:

nazarrr63: Спасибо бро напиши пожалуйста в инсте @nazarrr63
DedStar: Я очень старый человек (мне 68 лет) и я плохо представляю, что такое "инста". Лучше унажи свой адрес В Контакте :)))
DedStar: ***укажи
nazarrr63: Назар Назаров или \nazarrr63
nazarrr63: Я хочу вам поблагодарить
nazarrr63: Можете мне найти в ютубе Добрый Таджик или в Одноклассниках тоже Добрый Таджик
DedStar: Это в Контакте?
nazarrr63: Как вас найти ?
nazarrr63: 79102230101 можете написать вотсап или Вайбер
nazarrr63: ???
Вас заинтересует