Ответы
Ответ дал:
1
Решение на фото во вложении.
Приложения:

Ответ дал:
1
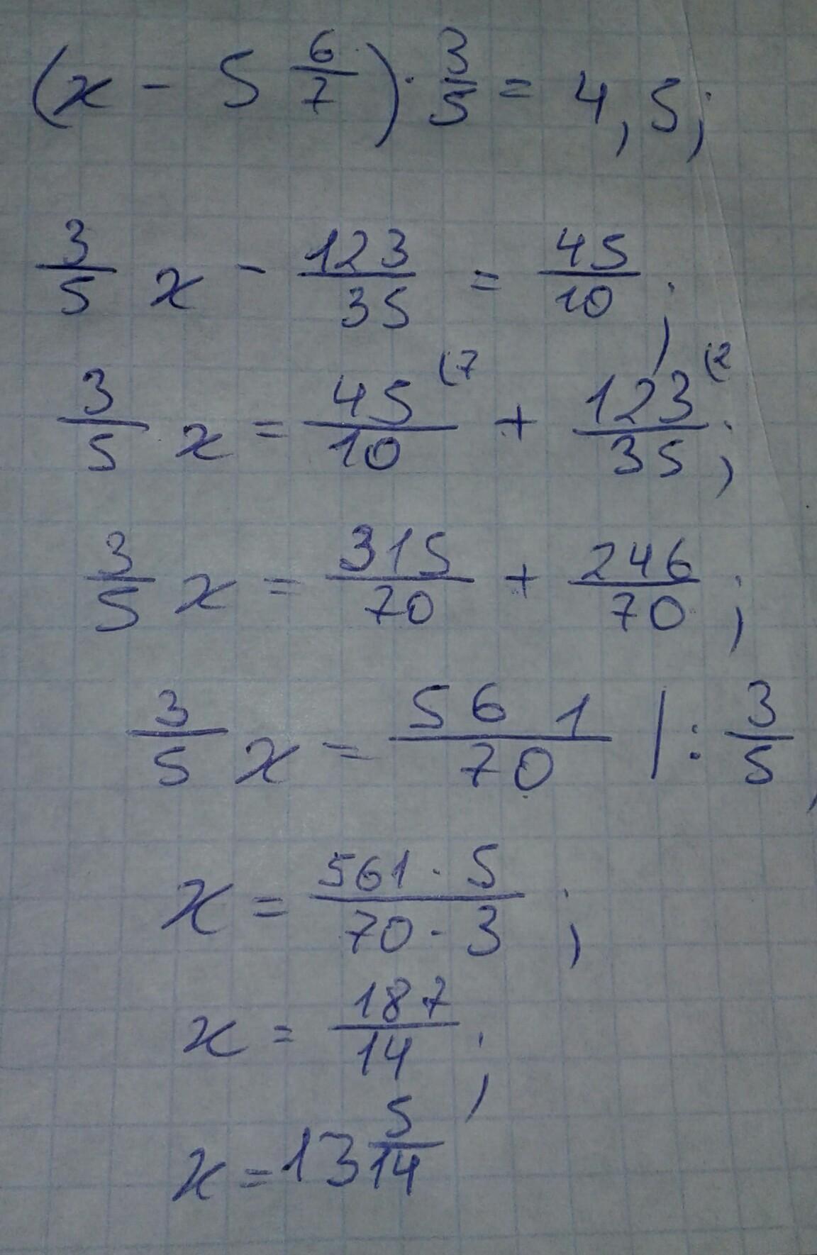
Ответ:
13 5/14.
Пошаговое объяснение:
(x-5 6/7)•3/5=4,5
x - 5 6/7 = 4,5 : 3/5
x - 5 6/7 = 4,5 : 0,6
x - 5 6/7 = 45/6
x - 5 6/7 = 15/2
х = 5 6/7 + 7 1/2
х = 5 12/14 + 7 7/14
х = 12 19/14
х = 13 5/14.
Проверка:
(13 5/14 - 5 6/7) • 3/5 = 4,5 - верно.
Вас заинтересует
1 год назад
2 года назад
2 года назад
3 года назад
3 года назад
8 лет назад