• Предмет: Алгебра
  • Автор: Аноним
  • Вопрос задан 2 года назад

срочно пожалуйста прошууууу

Приложения:

Ответы

Ответ дал: ЯгодкаЯлесная
1

Ответ:

фоточка тебе в помощь;)

Приложения:
Ответ дал: lv777
1

Ответ:

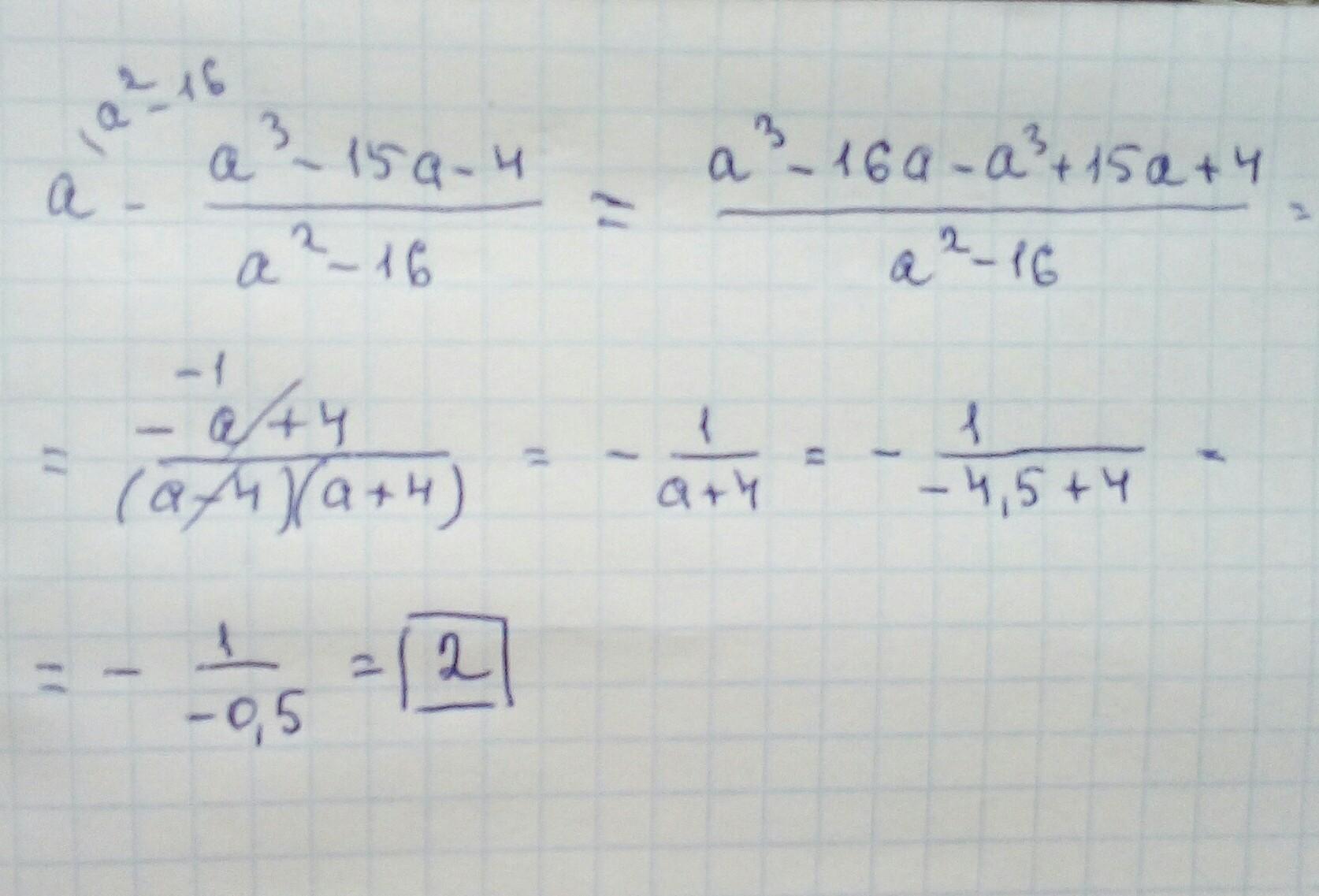
2

Объяснение:

Приводим к общему знаменателю

(а^3-16а-а^3+15а+4)/(а^2-16)=-(а-4)/(а^2-16)=-1/(а+4)=-1/(-0,5)=2

Вас заинтересует