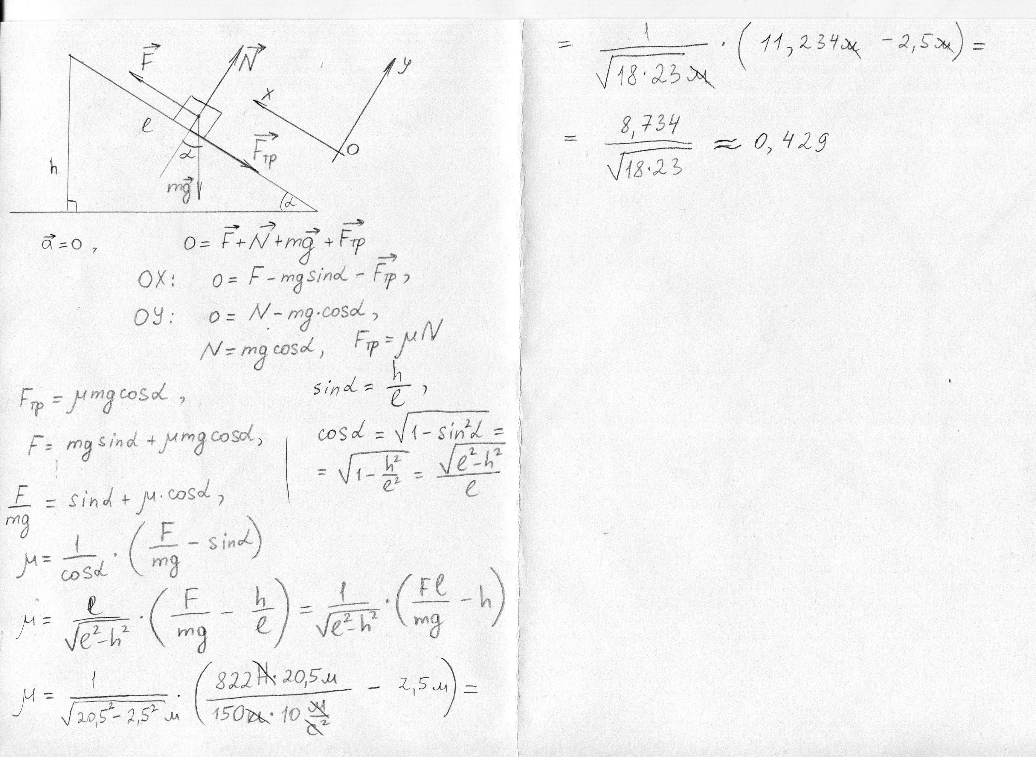
Под действием силы F тело массой m движется равномерно вверх по наклонной плоскости высотой h и длиной l. найти коэффициент трения о плоскость (g=10м/с^2).
F=822Н h=2,5м m=150кг l=20,5м
Аноним:
длина дана по горизонтали или по наклонной??
Ответы
Ответ дал:
3
Решение на фото/////
Движение равномерное, значит сумма сил, действующих на тело,=0.
ОХ: Fтр(х)+mg(x)+F(х)=0; или Fтр+mg(x)=F (в скалярной форме).
Приложения:

Ответ дал:
2
я написал на листочке прикреплённом ===>>
Приложения:

Вас заинтересует
1 год назад
1 год назад
2 года назад
3 года назад
3 года назад
8 лет назад