• Предмет: Математика
  • Автор: krx8
  • Вопрос задан 2 года назад

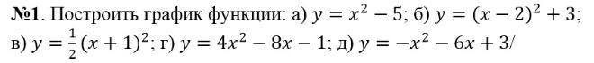
Помогите пожалуйста! 53 балла! Фото в закрепе!

Приложения:

Ответы

Ответ дал: bbbrrr
1

Ответ:

Только а

Пошаговое объяснение:

Сначала таблицу, потом график

Приложения:
Вас заинтересует