• Предмет: Математика
  • Автор: AdeliLeksa
  • Вопрос задан 2 года назад

Помогите решить (-7/15 +2/3)+ (-3,7-2,4)+ 5,9 с решением

Ответы

Ответ дал: polinafrolova090320
0

Ответ:

В первой скобке один минус оставляй и складывай числа. Вторую вычисляй сам как есть, 3 действие получится тоже сложение в ответе будет минус, и от полученных скобок вычитай 5,9.

Ответ дал: ksksksks321
0

Ответ:

0

Пошаговое объяснение:

Нам дан пример:

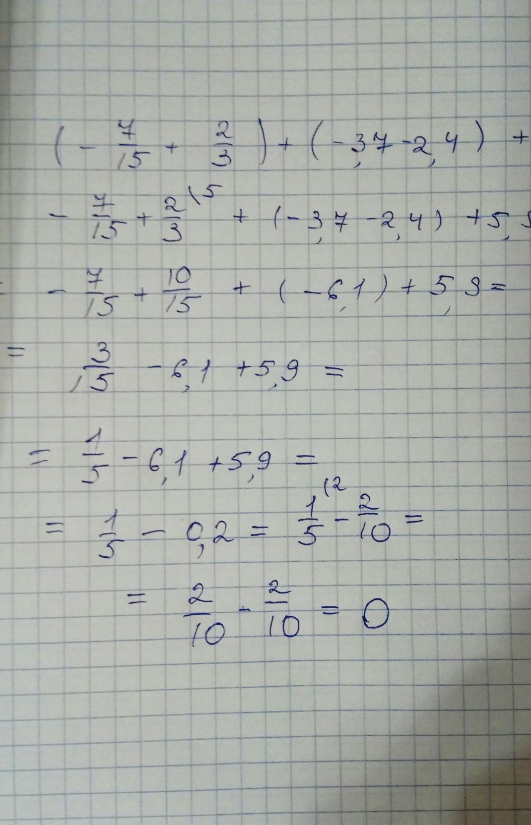
(-7/15+2/3)+(-3,7-2,4)+5,9

Для начала раскроем скобки;

Перед первыми скобками ничего не стоит, поэтому раскрываем, не меняя знак. Перед вторыми стоит плюс, поэтому также раскрываем и не меняем знак⤵️

-7/15+2/3-3,7-2,4+5,9

Действия будем выполнять поочередно. Для начала нужно сложить -7/15 и 2/3, для этого приведем их к общему знаменателю - 15. Для этого необходимо умножить 2/3 на 5. Получаем - 10/15.

-7/15+10/15 = 10/15-7/15 = 3/15 = 1/5

Далее, -3,7-2,4 тоже самое, что -3,7 + ( -2,4 )

-3,7-2,4= -6,1

Получаем уравнение:

1/5-6,1+5,9

Можно применить сочетательный закон и получим: 1/5 + ( -6,1+5,9 ) = 1/5 - 0,2

0,2 = 2/10

Остаётся: 1/5-2/10

Приводим к общему знаменателю 10:

(1/5×2)-2/10 = 2/10 - 2/10 = 0

Выражение равно нулю.

Приложения:
Вас заинтересует