• Предмет: Физика
  • Автор: Аноним
  • Вопрос задан 2 года назад

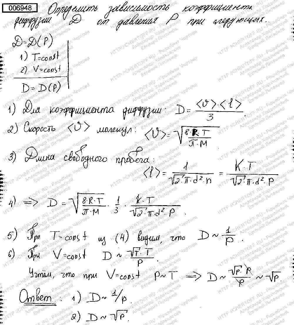
Определить зависимость коэффициента диффузии D от давления при следующих процессах: 1) изотермическом; 2) изохорном. Построить соответствующие графики.

Ответы

Ответ дал: Аноним
4

Ответ:

Смотри ответ на фото

Приложения:

Аноним: А графики какие будут?
Вас заинтересует