• Предмет: Геометрия
  • Автор: d21d21d2
  • Вопрос задан 2 года назад

Помогите пожалуйста, даю 85б

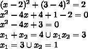
Найдите координаты точек пересечения окружности

(x−2)²+(y−4)²=2 с прямой у=3

Ответы

Ответ дал: uscov200863
2

ответ:(1;3); (3;3)

думаю так

Приложения:

d21d21d2: Спасибо, а можешь еще 1 решить?
uscov200863: а сколько балов даш
d21d21d2: 35
uscov200863: ок
d21d21d2: https://znanija.com/task/33778042
d21d21d2: вот
uscov200863: щас
Вас заинтересует