• Предмет: Математика
  • Автор: dolbesenkovakarina
  • Вопрос задан 2 года назад

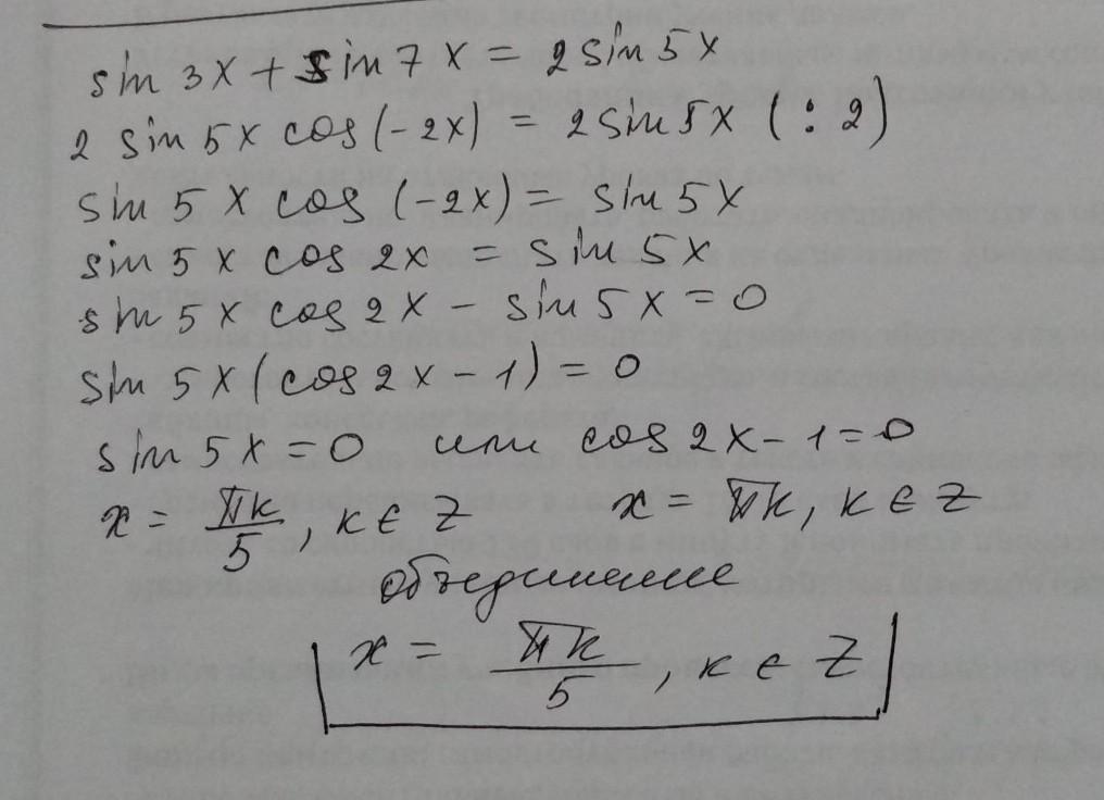
срочно нужно помогите sin3x+sin7x=2sin5x

Ответы

Ответ дал: gggarbakov
1

Ответ:

x=пk/5, k€Z (пk в числителе)

Приложения:
Вас заинтересует