Помогите решить систему уравнений.
Приложения:

sharofat0:
можно уточнить показабели степени в последней системе
Ответы
Ответ дал:
0
Ответ: №9
1
2
Объяснение:
Ответ дал:
0
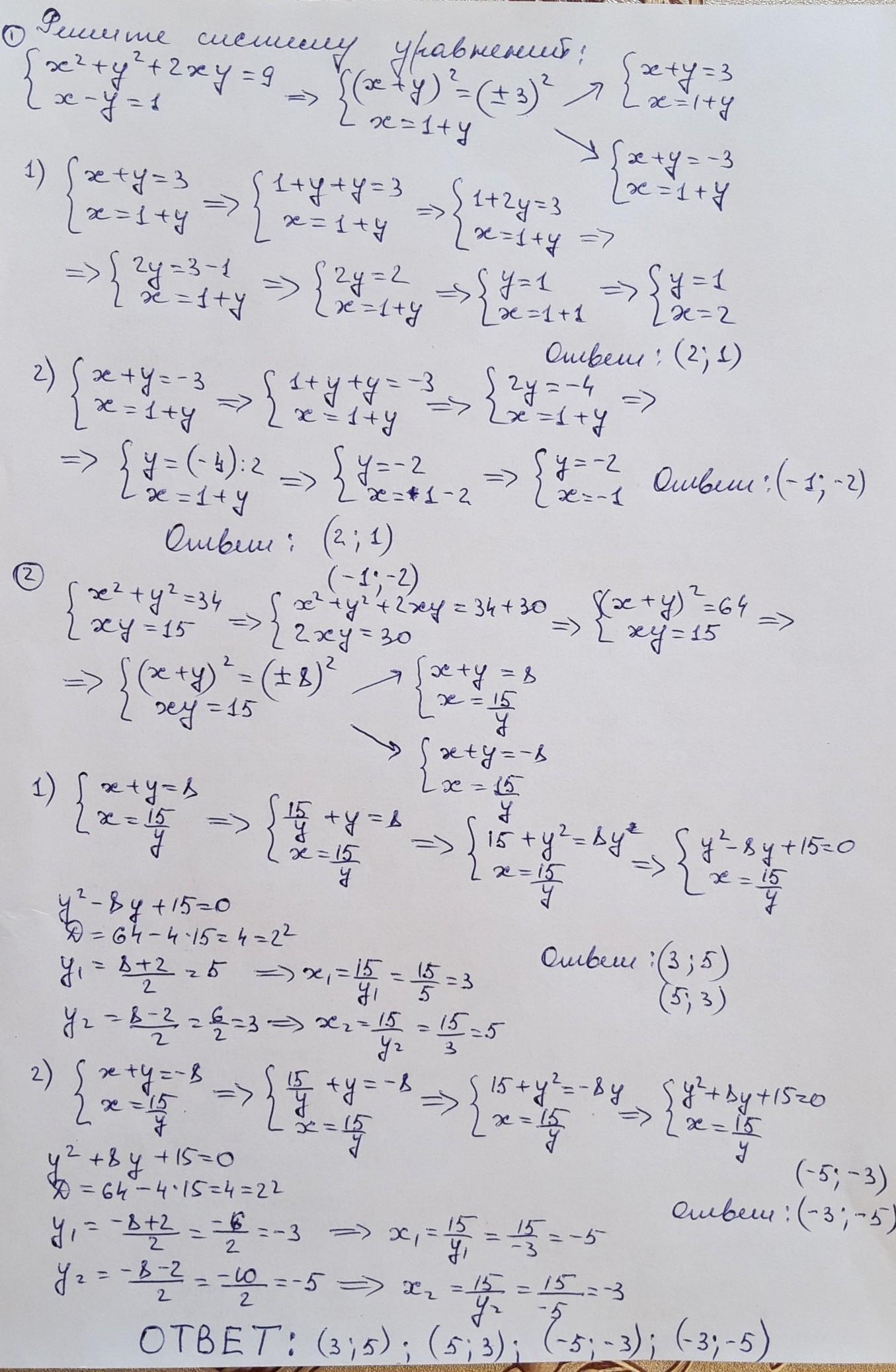
Решение систем уравнений.
Ответ:
Ответ во вложении.
Приложения:


Вас заинтересует
1 год назад
1 год назад
1 год назад
8 лет назад
8 лет назад