Ответы
Ответ дал:
1
Ответ:
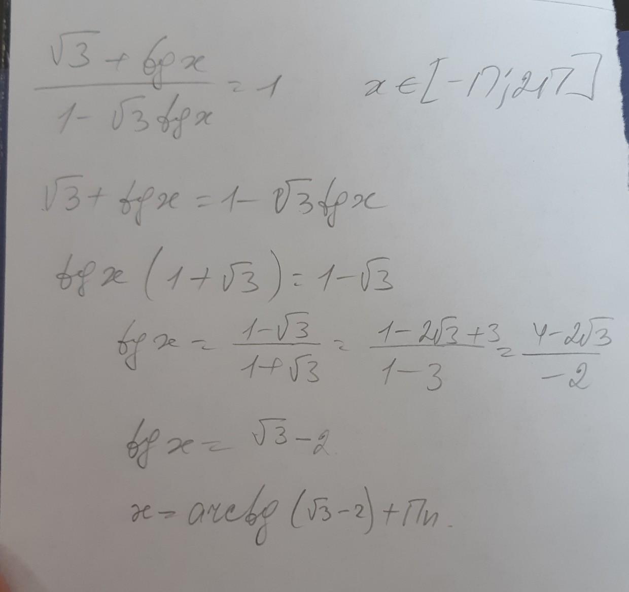
x=arctan(√3-2)+Пn
Приложения:

bekarevaprog:
а какой наибольший и наименьший корень?
Вас заинтересует
1 год назад
1 год назад
1 год назад
3 года назад