• Предмет: Математика
  • Автор: Foks02
  • Вопрос задан 2 года назад

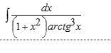
Найти неопределенный интеграл

Приложения:

Ответы

Ответ дал: Miroslava227
1

Ответ:

решение на фотографии

Приложения:
Вас заинтересует