Ответы
                                            Ответ дал: 
                                                                                    
                                        
                                            
                                                
                                                
                                                
                                                    0
                                                
                                            
                                        
                                    Ответ:
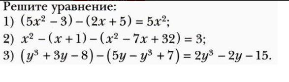
1) (5x²–3)–(2x+5)=5x²;
5x²–3–2x–5=5x²;
5x²–2x–5x²=3+5;
–2x=8;
x=8:(–2);
x=–4;
Ответ:x=–4.
2) x²–(x+1)–(x²–7x+32)=3;
x²–x–1–x²+7x–32=3;
x²–x–x²+7x=3+1+32;
6x=36;
x=36:6;
x=6;
Ответ:x=6.
3) (y³+3y–8)–(5y–y³+7)=2y³–2y–15;
y³+3y–8–5y+y³–7=2y³–2y–15;
y³+3y–5y+y³–2y³+2y=–15+8+7;
0=0
Ответ:любое число.
Объяснение:
Вас заинтересует
                
                        2 года назад
                    
                
                        3 года назад
                    
                
                        8 лет назад
                    
                
                        9 лет назад