• Предмет: Алгебра
  • Автор: N3ly
  • Вопрос задан 2 года назад

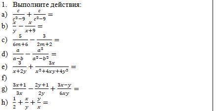
ПОМОГИТЕ СРОЧНО ДАЮ 50 БАЛЛОВ!!!!!!!!!!!!1!

Приложения:

Ответы

Ответ дал: serikayazhan4
1

Объяснение:

ㅠㅠㅠㅠㅠㅠㅠㅠㅠㅠㅠㅠㅠㅠㅠㅠㅠㅠㅠㅌㅌㅌㅌ

Приложения:
Вас заинтересует