Ответы
Ответ дал:
1
Ответ: в решении.
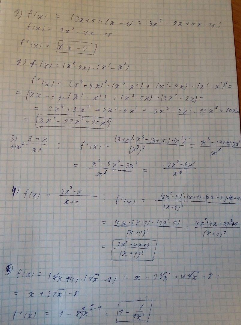
Пошаговое объяснение: В прикреплённой фото. Есть несколько способов, но я думаю моё решение поймёшь.
Приложения:

richirona3:
Спасибо большое!!!
Вас заинтересует
1 год назад
1 год назад
1 год назад
3 года назад
3 года назад
8 лет назад