Помогите с ексель чем сможете даю 100 баллов!!!!!! Помогу взаимно другими предметами ПОЖАЛУЙСТА!!!!!!!
Приложения:
Ответы
Ответ дал:
1
1. 8
2. 36
3. на 2
4. 6
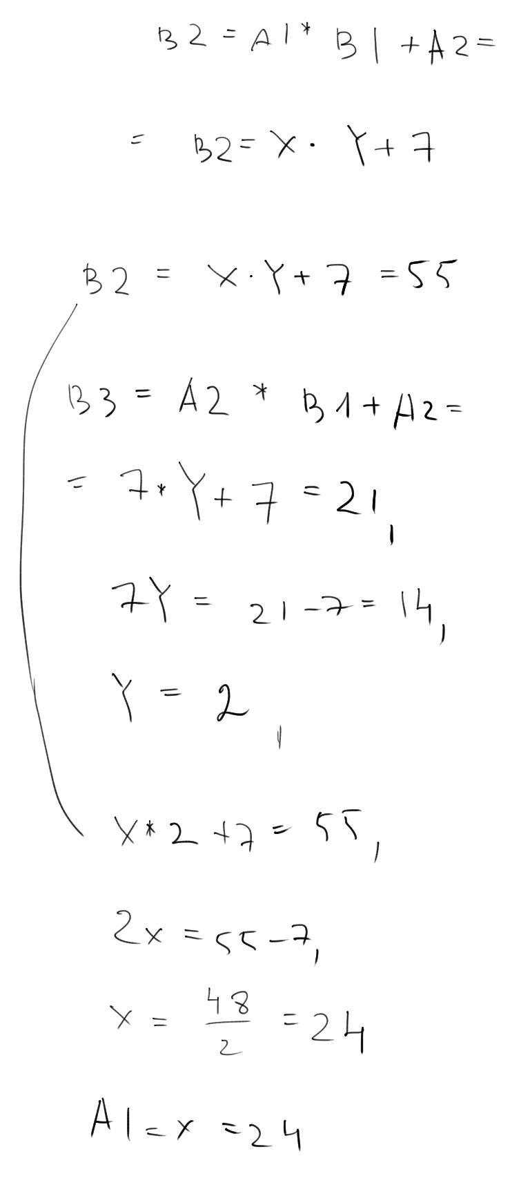
5. 24
Объяснения:
1. Пропишу по действиям:
1. C1=B1-A1=6.
2. C2=B2-A1=2.
3. C3=C1+C2=6+2=8
Ответ 8
2. Пропишу по действиям:
1. A3=СТЕПЕНЬ(A5;B2)=5^2=25
2. B4=МАКС(B1:B3)=9
3. C1=СУММ(B2:C3)=21
4. C6=(A3/B4>12;A3-C1;C2*4)=C2*4(т.к. высказывание A3/B4>1 ложное)=9*4=36
Ответ 36
3. Пропишу по действиям:
До умножения:
1. C1=B2-A1=8
2. СРЗНАЧ(A1:B2)=40/4=10
3. C3=C1+C2=8+10=18
После умножения:
1. C1=B2-A1=4
2. СРЗНАЧ(A1:B2)=48/4=12
3. C3=C1+C2=4+12=16
Было 18, стало 16, значит, уменьшилось на 2
4. Пропишу по действиям:
1. B2=СРЗНАЧ(A3:B3)=2
2. D1=МАКС(A1:B2)=6
3. D2=СРЗНАЧ(A1:B2)=4
4. D4=СРЗНАЧ(D1:D3)=(6+4+8)/3=6
Ответ 6
5. Объяснение на прикрепе
Приложения:
ukrop66:
Спасибо большое, буду разбираться!
❤️❤️❤️
Вас заинтересует
2 года назад
2 года назад
2 года назад
2 года назад
3 года назад
3 года назад
9 лет назад
9 лет назад