• Предмет: Алгебра
  • Автор: Gerant540
  • Вопрос задан 2 года назад

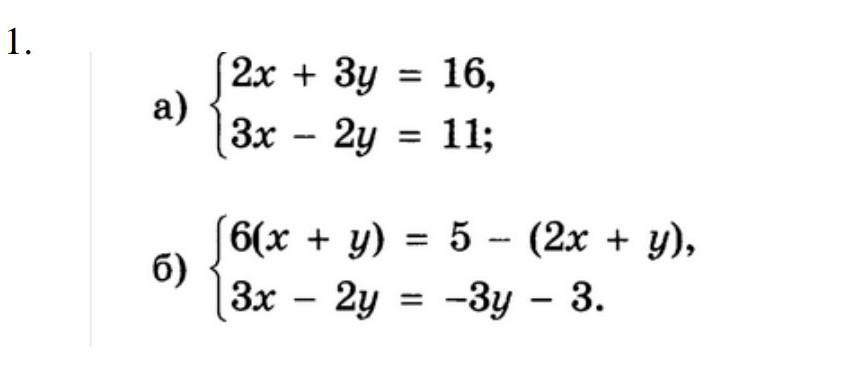
Решите пожалуйста систему уравнений ​

Приложения:

Аноним: Ворон, выбери лучшее пожалуйста!

Ответы

Ответ дал: Nukotz
1

Ответ:

а) 4x + 6y = 32 и 9x - 6y = 33

4x + 6y -6y + 9x = 43

13x = 65

x = 5

y = (16 -2*5)/2 = 3

б) 6x + 6y = 5 - 2x +y и 3x + y = 3

8x + 5y = 5

y = 3 - 3x

8x + 15 - 15x = 5

-7x =10

x = 7/10

y = 3 - 2.1 = 0,9

Вроде все верно


Аноним: проверь еще раз
Аноним: посмотри у меня
Аноним: я все расписал
Аноним: не совсем
Аноним: Это функция
Nukotz: это не функция, это система уравнений
Nukotz: Ничего не понял из твоего решения, может я поторопился и не верно решил. Пересмотри чтоле
Аноним: извеняюсь
Аноним: там где деление там дробь
Вас заинтересует