• Предмет: Математика
  • Автор: markvasad
  • Вопрос задан 2 года назад

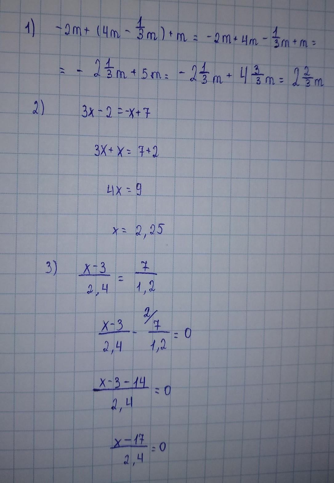
Приведите подобные слагаемые:
-2m+(4m-1/3m)+m
Решите уравнение: 3x-2=-x+7
Решите уравнение: x-3/2,4=7/1,2
Помогите сделать до вечера очень надо.

Ответы

Ответ дал: angelinalabadze1203
2

Последнее не совсем получилось.

Приложения:

markvasad: Спасибо братан, от души душевно в душу.
angelinalabadze1203: Не за что, брат.
Вас заинтересует