• Предмет: Алгебра
  • Автор: Аноним
  • Вопрос задан 2 года назад

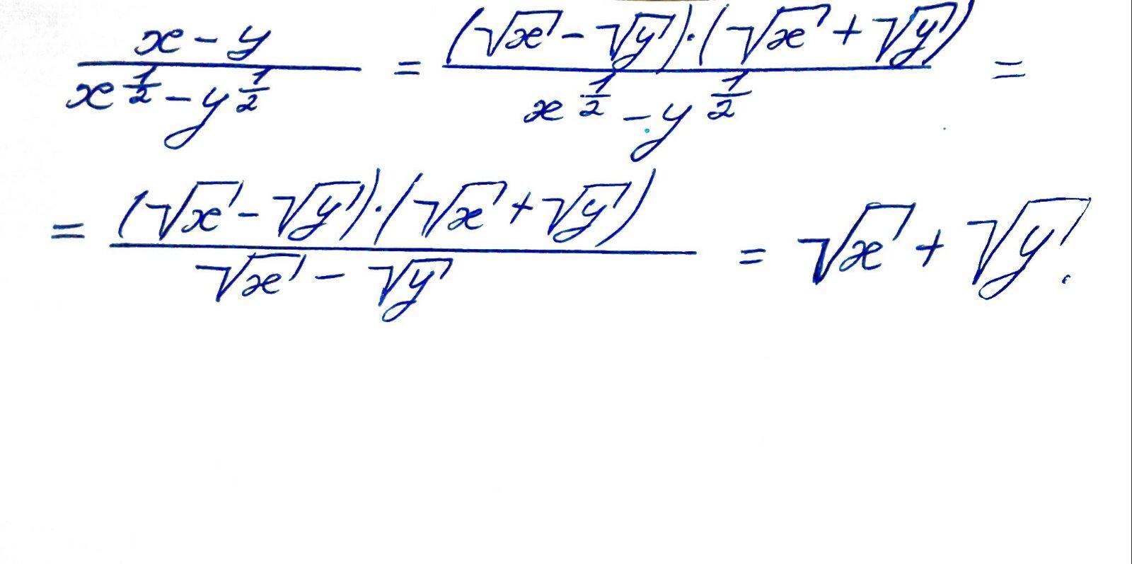
упростите выражение
есть скриншот​

Приложения:

Ответы

Ответ дал: AnastaAnastasi
0

Ответ:

Ответ на фотографии, думаю, ближе вариант А.

√x + √y

Приложения:
Вас заинтересует