Ответы
Ответ дал:
0
Выражаем из второго уравнения переменную х:
5y – 2x = 17
-2х=17-5у
2х=5у-17
х=(5у-17)/2
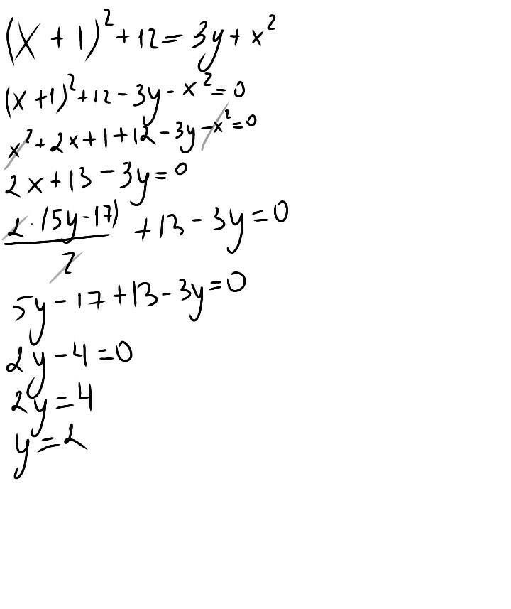
Подставляем х в первое выражение:(1 фото)
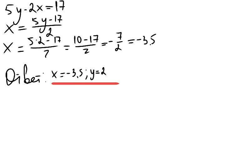
Находим х, подставляя y во 2 выражение:(2 фото)
Ответ: х=-3,5; у=2
5y – 2x = 17
-2х=17-5у
2х=5у-17
х=(5у-17)/2
Подставляем х в первое выражение:(1 фото)
Находим х, подставляя y во 2 выражение:(2 фото)
Ответ: х=-3,5; у=2
Приложения:


Вас заинтересует
2 года назад
2 года назад
2 года назад
7 лет назад
7 лет назад
9 лет назад