• Предмет: Геометрия
  • Автор: janez93
  • Вопрос задан 3 года назад

ПОМОГИТЕ ПОЖАЛУЙСТА !!1

Приложения:

Ответы

Ответ дал: NNNLLL54
0

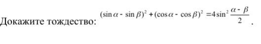
(sina-sin\beta )^2+(cosa-cos\beta)^2=\\\\\\=\Big(2\, sin\dfrac{a-\beta }{2}\cdot cos\dfrac{a+\beta }{2}\Big)^2+\Big(-2\, sin\dfrac{a+\beta }{2}\cdot sin\dfrac{a-\beta}{2}\Big)^2=\\\\\\=4\, sin^2\dfrac{a-\beta}{2}\cdot cos^2\dfrac{a+\beta }{2}+4\, sin^2\dfrac{a+\beta }{2}\cdot sin^2\dfrac{a-\beta }{2}=\\\\\\=4\, sin^2\dfrac{a-\beta}{2}\cdot \Big(cos^2\dfrac{a+\beta }{2}+sin^2\dfrac{a+\beta }{2} \Big)=4\, sin\, ^2\dfrac{a-\beta }{2}\cdot 1=4\, sin^2\dfrac{a-\beta }{2}

Вас заинтересует