Ответы
Ответ дал:
0
Ответ:
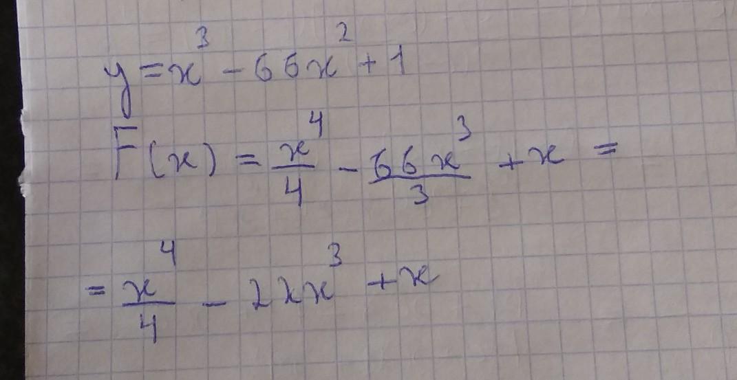
x⁴/4-22x³+x
Пошаговое объяснение:
Решение на фотографии.
Приложения:

Вас заинтересует
2 года назад
2 года назад
2 года назад
7 лет назад
7 лет назад
9 лет назад