• Предмет: Физика
  • Автор: viktoriahalapina0
  • Вопрос задан 3 года назад

помогите пожалуйста даю 20 баллов
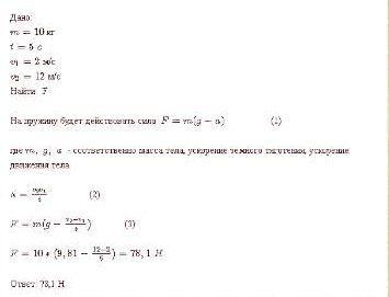
найдите силу каторую показывает динамометр если на динамометре опускается вертикально груз массой 10кг , так что его скорость изменилась за 5 секунд от 2 до 12 м/с​


BlackKnight333: Мне просто до отличника 4 надо лучших ответа

Ответы

Ответ дал: BlackKnight333
1

Ответ:

Объяснение:

Дай последний раз лучшего)

Приложения:
Вас заинтересует