Ответы
Ответ дал:
1
Ответ:
Первоначальная скорость мяча девочки = V, конечная же скорость его = 0.
Первоначальная скорость мяча мальчика=V*1,5, конечная скорость = 0.
При подъёме мяч тормозится тяготением Земли и замедляет свою скорость в соответствии с проверенной на практике формулой движения в поле тяготения:
Эта формула гласит, что в поле тяготения брошенный вверх предмет будет замедлять своё движение при подъёме вверх до тех пор, пока совсем не остановится и при этом проделает путь равный: S=V^2/2g.
Мяч девочки проделает путь = S=V^2/2g.
Мяч мальчика проделает путь =S=(1,5V)^2/2g=2,25V^2/2g.
Сравниваем обе эти формулы (делим одна на другую) и видим, что путь мячика мальчика длиннее пути мячика девочки в 2,25 раза.
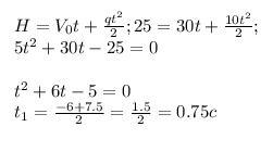
на фото 5 задание
Приложения:

Вас заинтересует
2 года назад
2 года назад
2 года назад
7 лет назад
7 лет назад
9 лет назад