• Предмет: Алгебра
  • Автор: zzyto1
  • Вопрос задан 3 года назад

Уравнение с логарифмами 10-11 класс:
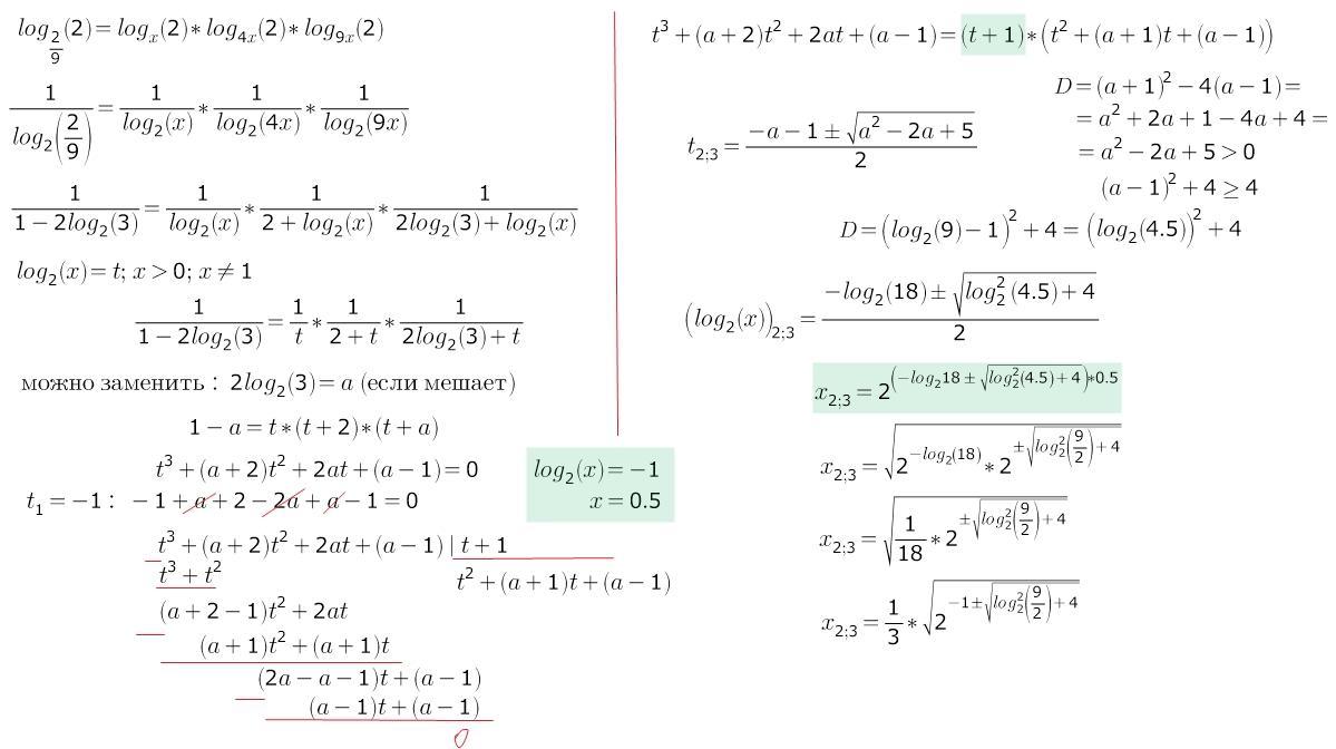
log_{2/9} (2)=log_{x} (2)*log_{4x} (2)*log_{9x} (2)


zzyto1: лично у меня получилось кубическое уравнение, которое я никак решить не могу.
LFP: похоже, что у этого кубического уравнения единственный корень х=0.5
zzyto1: А можно узнать, как до такого дойти ?)
zzyto1: Группировать слагаемые с целыми коэффицентами я умею, но проблема в том что там логарифмические...
LFP: "с целыми коэффициентами" только... а с дробными...? в любом случае, если коэффициент чуть сложнее, чем просто (а) --его можно обозначить за (а)... помогает

Ответы

Ответ дал: LFP
1

Ответ: первый корень х=0.5 устно находится))

а вот про оставшийся квадратный трехчлен (по инерции) подумала (как часто бывает), что корней нет... а они есть !!

пыталась их хоть чуть упростить --не получилось)))

надеюсь, нигде не ошиблась...

Приложения:

zzyto1: спасибо.
Вас заинтересует