• Предмет: Алгебра
  • Автор: fufufutdutdyuydu
  • Вопрос задан 3 года назад

Помоги те пожалуйста
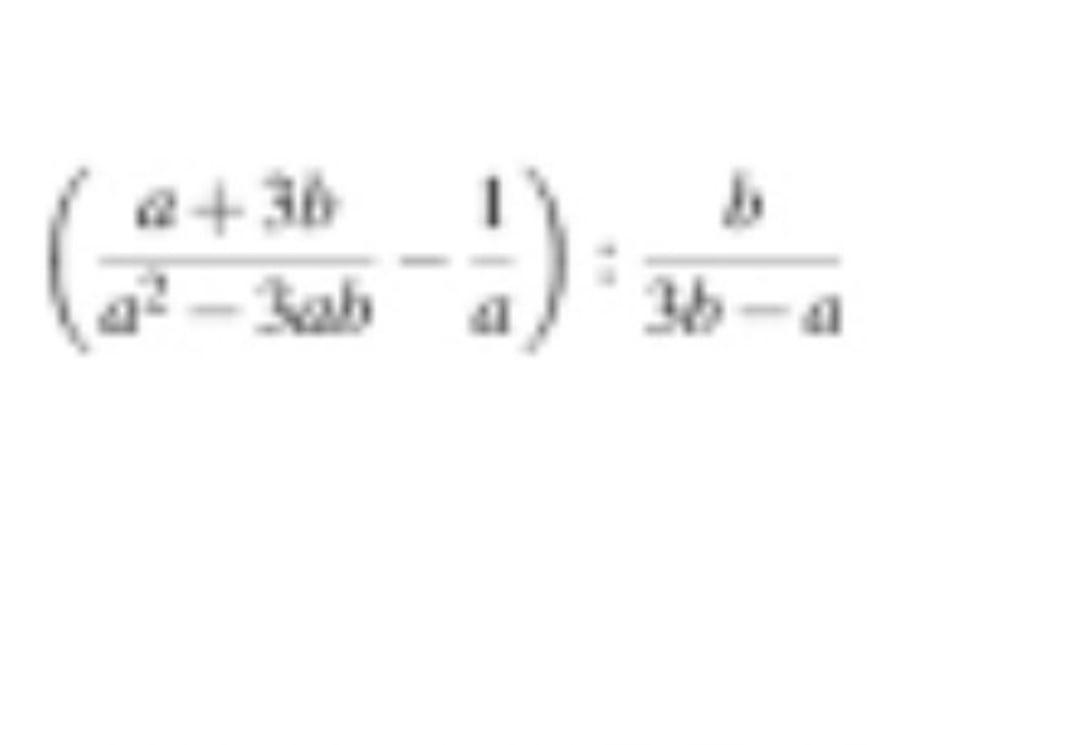
при а=-1,6 b=√6 - 1

Приложения:

Ответы

Ответ дал: veronika8472
1

ответ:

3,75

пояснение:

)#)#)#)#))#)#)#)₽

Приложения:

veronika8472: тогда ща
fufufutdutdyuydu: спасибо большое
veronika8472: удали мой ответ
veronika8472: я щас закину новый готовый
fufufutdutdyuydu: а как
veronika8472: а забудь
veronika8472: щас новый сделаю
fufufutdutdyuydu: можно твой вк ?
veronika8472: можно
veronika8472: odinokaya_zainka_15
Вас заинтересует