№ 1. Приведите уравнение 5х(3х+7)+(4х+1)²= -19х+63 к виду х²+рх+q=0 и укажите значения p и q
А. р=2 и q=2; B. p=2 и q=-2
C. p=2 и q=0,5; D. p=0,5 и q=2
№ 2 Выберите среди уравнений приведённое квадратное уравнение:
А. 5х²-29=0 В. -х²+2х-4,8=0
С. х³+х²+12х=0 Д. х²-0,7х-3(числитель) 4(знаменатель)-дробь
№3 какое число является корнем квадратного уравнение
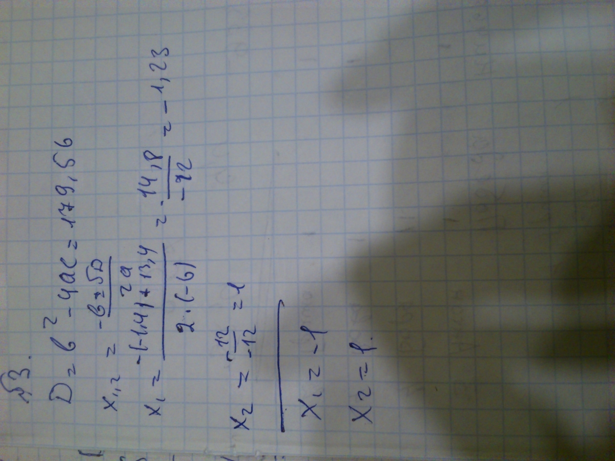
-6х²-1,4х+7,4=0
а.2; b.1; c.-1; d.0?
Ответы
Ответ дал:
0
№1
В) p=2, q=-2
В фотографиях подробно
№2
Д)
№3
(Решение в фото)
Ну тут смотри, получается не совсем хорошо, дискриминант кривой, но получается -1.23 и 1
Значит -1.23 округляем до -1 и получаем ответы (b) и (c)
В) p=2, q=-2
В фотографиях подробно
№2
Д)
№3
(Решение в фото)
Ну тут смотри, получается не совсем хорошо, дискриминант кривой, но получается -1.23 и 1
Значит -1.23 округляем до -1 и получаем ответы (b) и (c)
Приложения:


Ответ дал:
0
спасибо
Вас заинтересует
2 года назад
2 года назад
8 лет назад
10 лет назад
10 лет назад
10 лет назад