• Предмет: Алгебра
  • Автор: эпик154
  • Вопрос задан 3 года назад

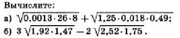
Срочно,выполните подробным решением.

Приложения:

Ответы

Ответ дал: Miа16
0

Ответ: Фото.

Объяснение:

Приложения:
Вас заинтересует