• Предмет: Алгебра
  • Автор: asemaorolbaeva75
  • Вопрос задан 3 года назад

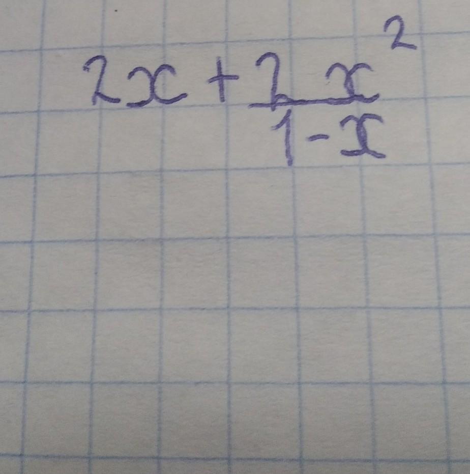
показать в форме дробби​

Приложения:

Ответы

Ответ дал: sangers1959
1

Объяснение:

2x+\frac{2x^2}{1-x} =\frac{2x*(1-x)+2x^2}{1-x}=\frac{2x-2x^2+2x^2}{1-x} =\frac{2x}{1-x}.

Вас заинтересует