Ответы
Ответ дал:
1
Ответ:
................................
Приложения:

Аноним:
солнцее спасибо ❤️
Ответ дал:
1
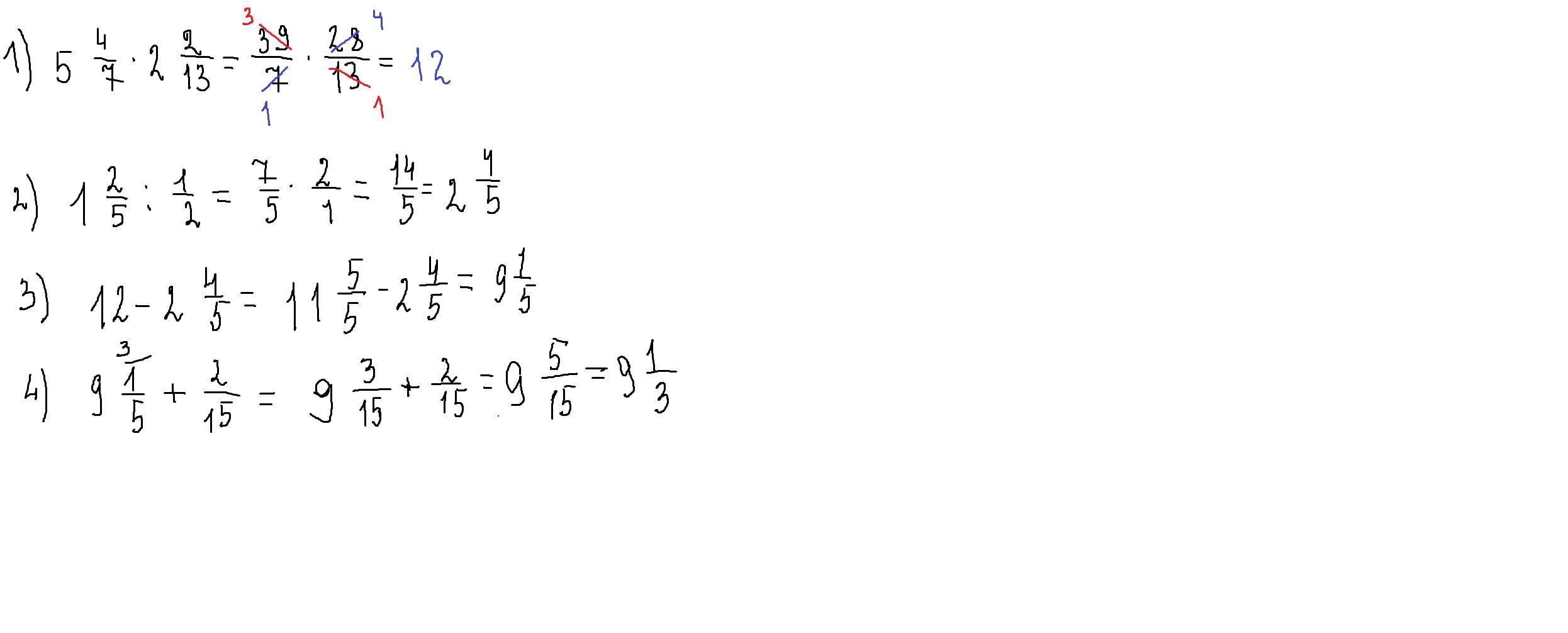
Ответ:
9 1\3
Пошаговое объяснение:
решение по действиям внизу
Приложения:

Вас заинтересует
2 года назад
7 лет назад