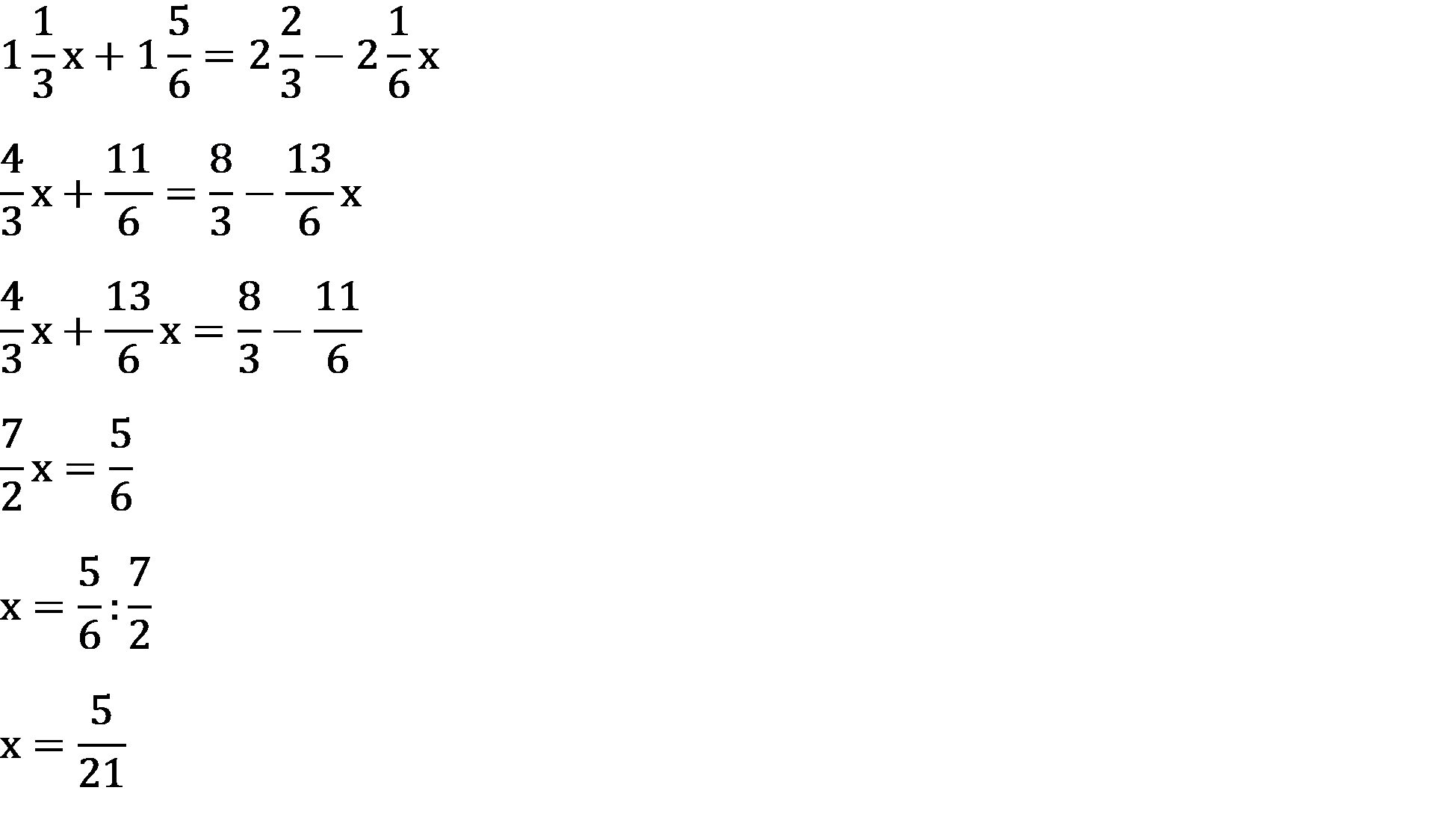
одна целая одна третья х+ одна целая пять шестых равно две целых две третьих-две целых одна шестая х
Ответы
Ответ дал:
0
файл
----------------------------------
Приложения:

Ответ дал:
0
Приложения:

Вас заинтересует
2 года назад
2 года назад
8 лет назад
8 лет назад
10 лет назад
10 лет назад
10 лет назад