• Предмет: Алгебра
  • Автор: alina00833
  • Вопрос задан 3 года назад

Помогите решить задания)

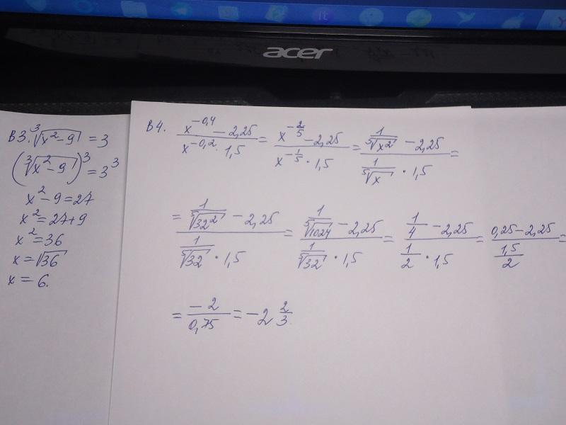
Приложения:

Zombynella: В В3 не видно показатель корня. Время есть порешать?
alina00833: Там x^2-9=3 под корнем в 3 степени
Zombynella: Поняла. Только время нужно) Может, Вы не на того специалиста надеетесь?)
alina00833: Время есть, ещё 20 минут)
alina00833: Вы мне не первый раз помогаете)
alina00833: Да, время есть, ещё 20 минут.
alina00833: И те задания которые вы мне делали,были правильными)

Ответы

Ответ дал: Zombynella
1

Ответ:

На фото.

Объяснение:

В приложении.

В задании В4 плохо видно знаменатель, мне показалось, *1,5, но лучше было бы -1,5, тогда получилось бы:

0,25 - 2,25/ 0,5 - 1,5 =

= -2/-1 = 2.

Посмотрите, может, так и есть)

А то ответ какой-то "корявый".

Приложения:

alina00833: Да в знаменателе -1,5
Вас заинтересует