• Предмет: Математика
  • Автор: zorigtord37122
  • Вопрос задан 3 года назад

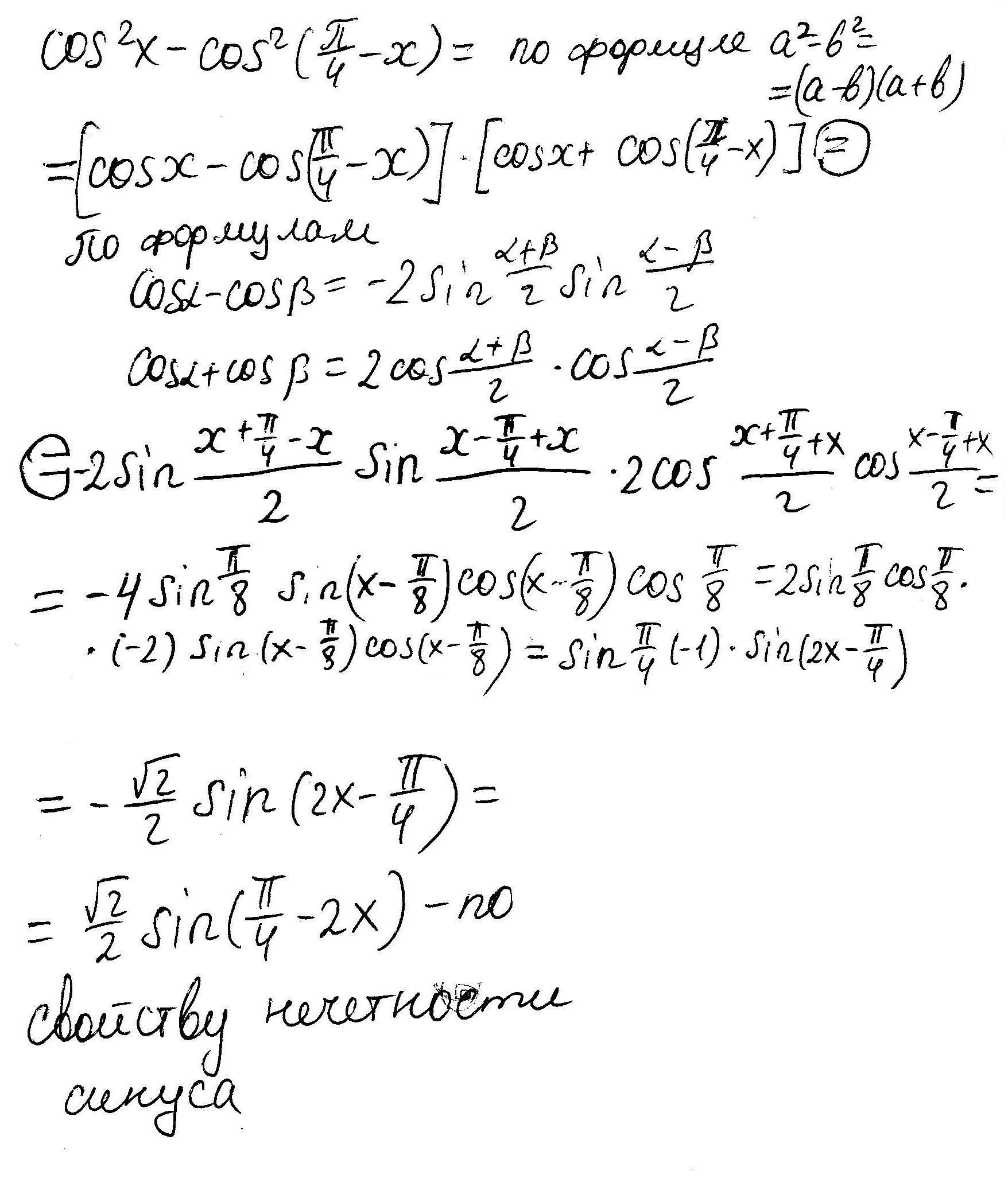
Как преобразовать выражение вида cos^{2}x - cos^{2}(\frac{\pi }{4} - x ) к \frac{1}{\sqrt{2}}sin(\frac{\pi }{4} - 2x ) (поподробней, пожалуйста)?

Ответы

Ответ дал: bearcab
1

Ответ:

\frac{\sqrt{2} }{2} \sin(\frac{\pi}{4}-2x)

Пошаговое объяснение:

Решение в приложении

Приложения:
Вас заинтересует