• Предмет: Математика
  • Автор: dzononovafiruza
  • Вопрос задан 3 года назад

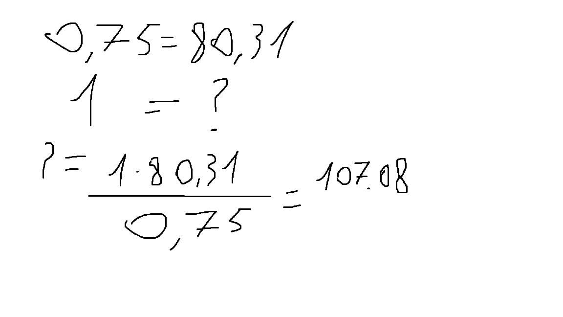
решить задачу если 0,75 грамм золота стоит 80,31 доллар сколько стоит 1 грамм золота​

Ответы

Ответ дал: Callum
1

Ответ:

Пошаговое объяснение:

Приложения:

Callum: Ответ:1 грамм золота​ стоит 107.08 долларов
Вас заинтересует