• Предмет: Алгебра
  • Автор: KingGong
  • Вопрос задан 3 года назад

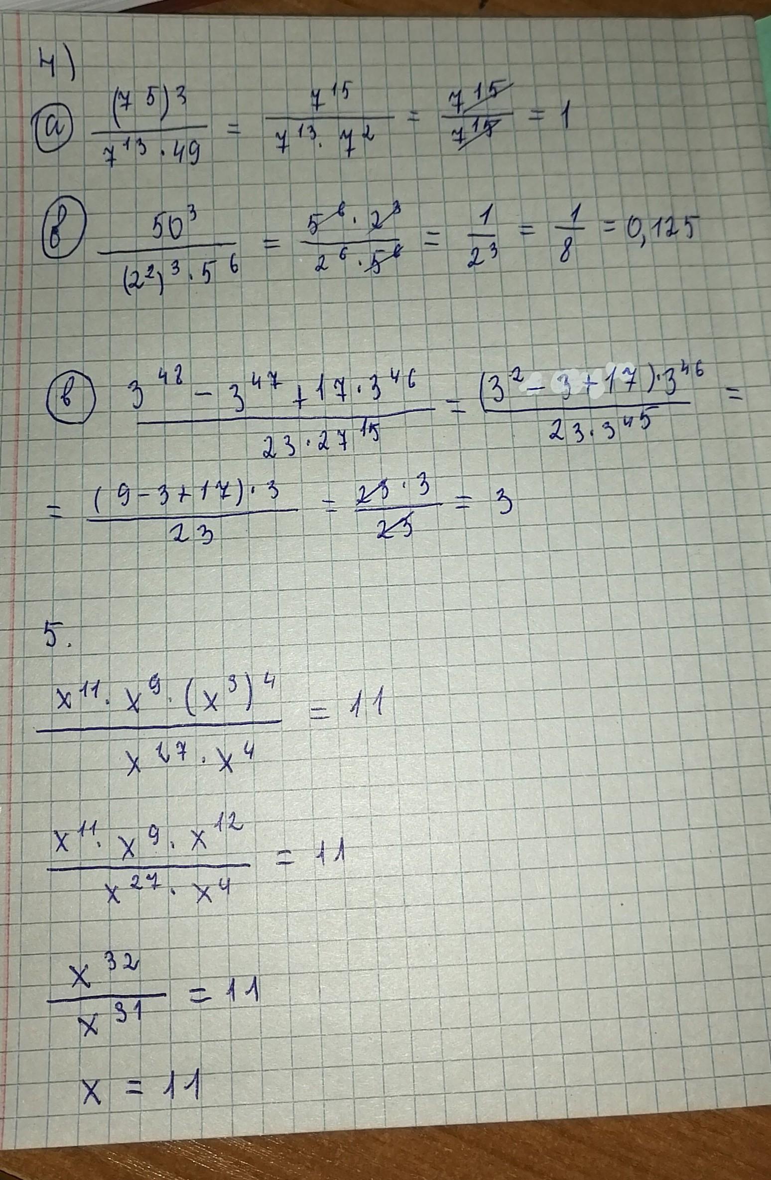
Помогите пожалуйста с 4 и 5 заданием.

Приложения:

Coreedition: 3 нет
KingGong: Нет, только 4 и 5.
KingGong: Ну пожалууйста

Ответы

Ответ дал: ismaganbetovakunai
1

Объяснение:

Я сделала это на тетради, надеюсь будет удобно списывать.

Приложения:

KingGong: Да, спасибо огромное! Прям выручила< а то завтра сдавать)
Вас заинтересует