пж помогите даю 20 балов тут только 2 задания
Приложения:

sava1144:
нужно упростить? Или что?
Ответы
Ответ дал:
1
Объяснение:
1.2b³+6a²b
2.8a³b+8ab³
вроде так, если упрощать
Ответ дал:
0
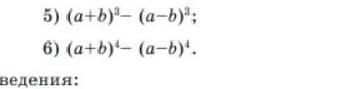
5)a⁶-3a⁴b²+3a²b⁴- b⁶
6)8ab×(a²+b²)
Вас заинтересует
2 года назад
2 года назад
2 года назад
2 года назад
8 лет назад
8 лет назад
9 лет назад